[ad_1]

Nearly 30 years ago, scientists discovered a unique class of anticancer molecules in a family of bryozoans, a phylum of marine invertebrates found in tropical waters.
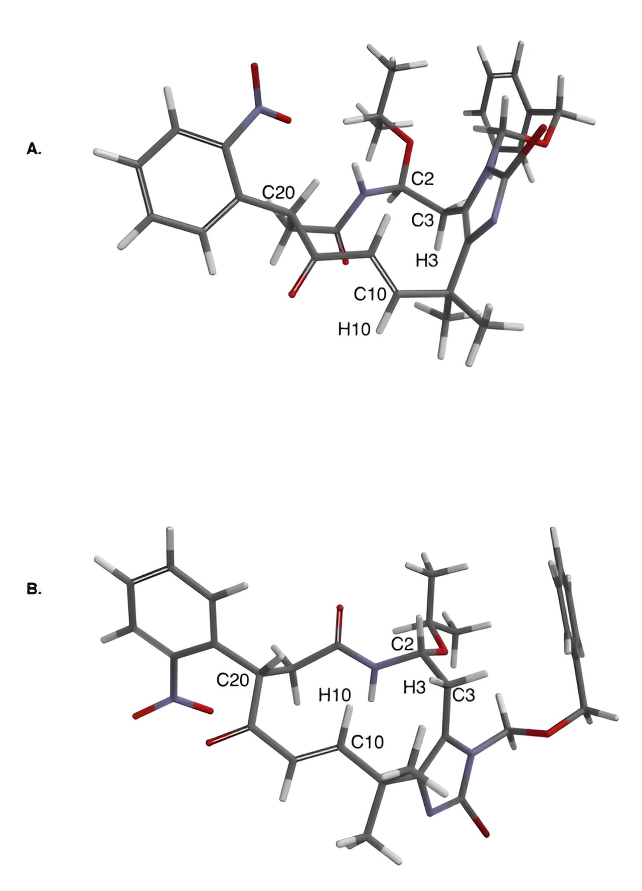
The chemical structures of these molecules, which consist of a dense, highly complex knot of oxidized rings and nitrogen atoms, has attracted the interest of organic chemists worldwide, who aimed to recreate these structures from scratch in the laboratory. However, despite considerable effort, it has remained an elusive task. Until now, that is.
A team of Yale chemists, writing in the journal Science, has succeeded in synthesizing eight of the compounds for the first time using an approach that combines inventive chemical strategy with the latest technology in small molecule structure determination.
“These molecules have been an outstanding challenge in the field of synthetic chemistry,” said Seth Herzon, the Milton Harris ’29 Ph.D. Professor of Chemistry in Yale’s Faculty of Arts and Sciences and corresponding author of the new study. “A number of research groups have tried to recreate these molecules in the lab, but their structures are so dense, so intricately connected, that it hasn’t been possible. I’ve been reading about efforts to synthesize these compounds since I was a graduate student in the early 2000s.”
In nature, the molecules are found in some species of bryozoa—small, aquatic animals that feed by filtering prey from the water via tiny tentacles. Researchers worldwide consider bryozoans to be a potentially valuable source of new medications, and many molecules isolated from bryozoans have been studied as novel anticancer agents. However, the complexity of the molecules often limits their further development.
Herzon’s team looked at a particular species of bryozoa called Securiflustra securifrons.
“We worked on these molecules about a decade ago, and though we were not successful in recreating them at that time, we gleaned insight into their structure and chemical reactivity, which informed our thinking,” Herzon said.
The new approach involved three key strategic elements. First, Herzon and his team avoided constructing a reactive heterocyclic ring, known as an indole, until the end of the process. A heterocyclic ring contains two or more elements—and this specific ring is known to be reactive and create problems, Herzon said.
Second, the researchers used methods known as oxidative photocyclizations to construct some of the key bonds in the molecules. One of these photocyclizations involved the reaction of a heterocycle with molecular oxygen, which was first studied by Yale’s Harry Wasserman in the 1960s.
Lastly, Herzon and his team employed microcrystal electron diffraction (MicroED) analysis to help visualize the structure of the molecules. Herzon said conventional methods for structure determination were inadequate in this context.
The result of the new approach is eight new synthetic molecules with therapeutic potential—and the promise of more new chemistry to come.
“These molecules hit right at my love of complex synthetic challenges,” said Herzon, who is also a member of the Yale Cancer Center and holds joint appointments in pharmacology and therapeutic radiology at Yale School of Medicine. “On a molecular weight basis, they are modest relative to other molecules we’ve studied in my lab. But from the vantage point of chemical reactivity, they present some of the greatest challenges we’ve ever taken on.”
Co-first authors of the new study are Yale chemistry graduate students Brandon Alexander and Noah Bartfield. Co-authors are Vaani Gupta, a Yale chemistry graduate student; Brandon Mercado, a Yale X-ray crystallographer and lecturer in the Department of Chemistry; and Mark Del Campo of Rigaku Americas Corporation.
More information:
Brandon W. Alexander et al, An oxidative photocyclization approach to the synthesis of Securiflustra securifrons alkaloids, Science (2024). DOI: 10.1126/science.adl6163
Citation:
Chemists synthesize unique anticancer molecules using novel approach (2024, February 22)
retrieved 22 February 2024
from https://phys.org/news/2024-02-chemists-unique-anticancer-molecules-approach.html
This document is subject to copyright. Apart from any fair dealing for the purpose of private study or research, no
part may be reproduced without the written permission. The content is provided for information purposes only.
[ad_2]
Source link

Leave a Reply